電子ビーム分極反転におけるクーロン力の定量化
粟野春之,細野徹朗,高橋洋平,中田善一*,皆方 誠
(2001年12月12日 受理)
Measurement of Coulomb Force in Electron Beam Domain
Inversion
Tetsuro HOSONO, Haruyuki AWANO, Yohei TAKAHASHI,
Yoshikazu NAKADA*
and Makoto MINAKATA
(Received Dec.12 ,
2001)
abstract
We have been studying the formation of nanometer scale inversion domains in
LiTaO3 using electron beam (EB) irradiation. In this paper,
we measured the Coulomb force caused by the electrons impinging into crystal by
EB irradiation. First, we led the equation for the interaction of Coulomb
between a small dot and a surrounding ring ( control-ring ) which is drawn with
various electronic density before drawing of a small dot. Then we drawn the
control-ring with same density and different size and compared the size of
inverted pattern with the original designed pattern. There was good agreement
with the pattern size as expected.
1.はじめに
強誘電体光学結晶であるLiNbO
3やLiTaO3結晶は分極方向がc軸方向において+,−の2つのみを示す180°ドメイン構造を有し,磁性材料にみられるブロッホ壁が存在しないために1),その最小ドメインサイズは結晶のユニットセルの寸法である5Å程度になる可能性がある.
分極反転のメカニズムを明らかにし,微小サイズの分極反転形成を自由にコントロールできるようになると,現在の超高速光変調器や第2高調波発生素子などの光デバイスの特性を飛躍的に向上させることが期待できる.また,分極反転を物理的に解明し,ナノメートル分極反転を制御する技術を開発することによって,超大容量メモリ等の新しい応用デバイスを開発できる可能性がある.
我々の研究室では,強誘電体光学結晶に分極反転を形成する有力な方法の一つである電子ビーム描画法を用いた分極反転実験を行ってきた2).電子ビーム描画法は,試料表面に直接電子ビームを照射するため電界印加法に必要な微細な電極を形成する必要がなく,ビーム径をサブミクロン以下に細く絞ることができるなど極微構造を形成するための利点をもっている.しかし,電子ビーム分極反転についてはマクロな反転メカニズムについてさえ研究例が少ないため,我々はこれまでに様々な実験を重ね,詳細な検討を行ってきた.その結果,電子ビーム分極反転においては結晶上に描画した電荷間に強いクーロン相互作用が働き,電荷分布に大きな影響を与えることがわかった3).そこで本報告ではクーロン相互作用の定量化を試みたので報告する.
2.クーロン相互作用の実証
2.1 実験装置
分極反転実験に用いた電子ビーム描画装置は,一部改造した走査電子顕微鏡(SEM : 日本電子
JSM-5300)を電子ビーム源,電子ビーム制御系とし,パターン発生器,制御用コンピュータより構成されている.パターン発生器でドット,直線,円などを発生し,制御用コンピュータがそれらを自在に組み合わせて所望のパターンを作成し,電子ビーム制御系によりそのパターンを結晶表面に描画することが可能である.
電子ビーム走査速度や電子照射量は一定の制約下で自在に制御が可能であり,電子ビームは直径10nmに絞ることができる.また,SEMの試料台には電流計が接続されており,描画中の微小の電流を測定することが可能である.
実験に使用したLiTaO3結晶は国産のZカット基板で厚さは500μmである.これを5×6mmに切り出して使用した.+c面は金コートして電極とし,−c面に電子ビームを照射して描画を行った.加速電圧は20kV,ビーム電流は200pA,クロックは1〜30,000である.クロック数は1ドット(10nm)の描画時間で,クロック1が0.5μsに相当する.描画後,フッ硝酸エッチングをすると-c面が選択的にエッチングされるので+c面上に反転してできたピットを観察した2).
2.2 コントロールリングを用いた分極反転構造
これまでに得られた結果をまとめてFig.1に示す3).3つのパターンを描画した.コントロールリングなし,中濃度リング(クロック1),高濃度リング(クロック8)である.
リング描画パターンの内径は50μm,幅は10μmとした.その中央に540nm角の微小四角形パターンをクロック30,000で描画した.描画する四角形パターンの面積を小さくしていき,このサイズより小さくなると反転が得られなくなる.リングなしの場合にはこれまでの実験同様+c面に分極反転ドメインは得られなかった.しかし,リングを描画するとクロック1では13μm,クロック8では29μmの反転直径が得られた.
クーロン力による電荷分布をFig.2に示す.微小四角形を描画した場合の電荷分布をFig.2
(a)のように表すとする.リングを描画することによって中央パターンの電荷分布の広がりが抑制され,中央に吹き寄せられた電荷分布によるポテンシャルが反転しきい値を越えて分極反転が生じると考えられる(Fig.
2(b)).これよりクーロン相互作用の存在が実証された.
以上、電荷分布のクーロン相互作用については定性的にわかってきたので,定量化することを試みた.
3.クーロン相互作用の定量化
3.1
定量化のための計算式
コントロールリングから中央パターンへのクーロン力を定量的に検討するために,コントロールリングと中央パターンの間に働くクーロン相互作用の計算式を導いた.
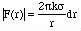
Fig.3に示すように内半径a,外半径bのコントロールリングに単位面積あたり一様な電荷σが分布しているとする.中央パターンを点電荷(Q=1[C])とみなし,コントロールリングから中央パターンPに働くクーロン力を計算する.まず,内半径aから外半径bまでの間にある半径r,幅drのリングから中央パターンPの単位電荷に働くクーロン力
|F(r)| を考える.半径r,幅drの電荷は2πr×dr×σで表されるため,そのクーロン力|F(r)|
は次式で表される.

ここで

・・・・・(1)
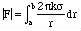
つぎに、コントロールリングを構成する内半径aから外半径bまでの間にある半径rのリングのクーロン力
|F(r)| に関する積分値を求める.



・・・・・(2)
ここで,2πk:定数,σ:電荷の面密度でクロック数に比例する,a:内半径,b:外半径である.
すなわち,コントロールリングから中央パターンPの単位電荷へ働くクーロン力
|F| の積分量は(2)式で表される.
3.2 クーロン相互作用の定量化実験( I )
3.2.1
実験誤差の確認
定量化の実験の一部としてクーロン相互作用にばらつきを与えることが予想される結晶表面の「導電率」のばらつきや,電子ビーム照射により結晶中に注入される「電子の面分布」のばらつきについて検討を行った.具体的にはコントロールリングの幅を10μm,内径を50μm,クロック数7の条件の下で描画を行った後,リングの中心位置に660nm角,クロック数30,000の微小四角形を描画した.このパターンを一枚の基板上に適当な間隔をおいて計6個描画し面内のばらつきがどの程度あるかを調べた.
試作した試料の中央パターンについて観察したエッチングパターンをFig.4に示す.反転した中央パターンは面内のどの位置においても形もサイズも似ていることがわかる.Fig.4における反転サイズの最大値と最小値の間のばらつきは最大で6%であった.結晶基板を多数用意して同じ実験を繰り返したところ,ばらつきは3〜8%の範囲であった.この実験において,結晶基板内及び基板間の電子ビーム照射におけるばらつき(誤差)は最大8%程度と見積もることができたので,以下の実験では8%以内の差異であれば実験誤差内と考えることとし,8%以上の差異が生じれば優位差があると判断することとする.
3.2.2 クーロン力一定条件下での反転サイズの観察
3-1節で述べたクーロン相互作用の計算式((2)式)を用いて、コントロールリングから中央パターンへ働くクーロン力の積分値が一定となるような条件の下で,リング幅を種々変化させて実験を行った.リングの内径を50μmで一定として幅b-aを1μm〜10μmまで変化させた.このとき,(2)式を使って、中央パターンPへ働くクーロン力が一定となるように各コントロールリング幅におけるクロック数を求めた.計算から求めたクロック数をTable
1に示す.リングから中央パターンPに対して同じ力が加わることになるために,どの場合においても反転サイズは等しくなることが期待される.

一枚の基板上にリング幅の異なるパターンを2組づつ組み合わせて,1組はそれぞれ3個ずつ描画を行った.Fig.5に観察した中央部のエッチングパターンを示す.リング幅が1μmと1.5μmの組み合わせでは,ばらつきはそれぞれ3%だった(Fig.5(a)).リング幅が1μmのものを基準にして反転サイズの比をとると,1.5μmの場合は1.02であった.リング幅が1μmと3μmの組み合わせでは,ばらつきはそれぞれ6%であり,比は1.01であった(Fig.5(b)).リング幅が2μmと10μmの組み合わせでは,ばらつきはそれぞれ5%であり,比は1.04であった(Fig.5(c)).以下,組み合わせを種々変えて実験を行った.結果をTable
2にまとめて示す.リング幅1μmの場合の反転サイズを1とおいてそのほかのリング幅におけるサイズをサイズ1により規格化した.反転サイズ比は最大で1.06となった.この値は,先に求めた結晶基板による実験誤差である8%以内に収まっており,有意差がないことが解った.すなわち,中央パターンに対してコントロールリングから働くクーロン力Fが一定になるように,リング幅の変化に対するクロック数を計算から求めて実験を行った結果,中央パターンにおける反転サイズは予想通り実験誤差の範囲内でほぼ等しくなることが解った.
3.3
クーロン相互作用の定量化実験(II)
コントロールリングから中央パターンPへ働くクーロン力Fの変化に対する反転サイズの関係を求めた.コントロールリングのサイズを内径50μm,幅10μmとして,クロック数を種々変化させて実験を行った.前節の実験同様,一枚の基板上に適当な間隔をおいて計6個描画した(Fig.6参照).

Fig.6(a)はコントロールリングのない場合,およびリングのクロック数を1,2,3,4,7と変化させて実験した反転サイズである.同様にFig.6(b)はコントロールリングのない場合,およびリングのクロック数を4,5,6,7,8と変化させて実験した反転サイズである.同様の実験を繰り返し行った.コントロールリングのクロック数と反転サイズの関係をグラフに表すとFig.
7のようになる.コントロールリングのクロック数を増加させると反転サイズが大きくなっていくことがわかった.即ち,クロック数は(2)式における電荷密度σに比例するので,結局コントロールリングのクーロン力ヘ
|F|
を大きくしていくと中央パターンは大きくなることがわかった.反転サイズの変化をリングを描画しない場合と比較すると,クロック数8における反転サイズ38.5μmはおよそ1.5倍の電子照射量で描画したことに相当している.
4.クーロン力と反転パターンの関係
我々はこれまで電子ビーム分極反転における電子照射量と反転サイズの関係を「砂時計型電荷分布モデル」と核形成しきい値hn,反転しきい値hthを用いて説明してきた2).結晶上に照射される電荷分布は砂時計の砂が降り積もるように円錐形状に蓄積されるというモデルで電子照射量と反転サイズの関係をうまく説明できた.1μm角でクロック数30,000の描画パターンの電子照射量を1とおき,そのときの円錐の高さを1とおいて反転しきい値hthを引いてみる.このしきい値を超えた部分が反転すると考える.円錐がhth で切り取られる部分の底面積を反転サイズとおくと,反転しきい値が0.61のとき電子照射量に対する反転サイズについて実験値と計算値がよく一致する2).
中央パターンの描画面積を決めると,砂時計型電荷分布モデルで表される円錐の体積が定まる.コントロールリングのクロック数を変化させ中央パターンへ働くクーロン力を変化させると,モデルで表される円錐は体積を保ったまま変形していくと考えることができる.体積を一定とした円錐の変化の様子を断面図としてFig.8 に示す.Fig.8の最も高さの低い円錐は660nm角の微小四角形パターンを描画した際の電子照射量に相当する.それ以外の円錐は元の円錐の体積を保ったまま外側から働くクーロン力を受けて次第に盛り上がっていく様子を示している.
コントロールリングのクーロン力を変化させることによって円錐の高さhが変化する.このhと反転サイズの関係を考えてみる.hth を0.61とおいてしきい値を図中に引いてみると,しきい値で切り取られた円錐の底辺の直径が反転直径に相当する.クーロン力が強くなるに従ってhが高くなり,反転サイズは次第に大きくなっていき最大値をとった後小さくなっていくであろうことが図から読みとれる.3.3節の実験では,コントロールリングのクロック数を増加させる(Fを大きくする)と分極反転形状が大きくなった.この事実はFig.8においてFの増加と共にhが高くなり反転サイズが単調増加するFの領域に「実験領域」があることを示唆している.なお,660nm角の描画パターンにおける円錐の高さは0.76であった.コントロールリングのクロック数8における反転サイズは38.5μmであるので,円錐の高さは1程度に相当することがわかった.
5.まとめ
コントロールリングとその中央に描画した微小四角形パターンの間に働くクーロン相互作用を定量的に検討した.まず,リングから中央パターンに働くクーロン力を求める式を導出した.その式に基づいて基板に起因するばらつき(実験誤差)の大きさを見積もった.つぎにクーロン力定量化の実験を行った結果,中央パターンに働くクーロン力が一定の条件(リング幅の異なる条件で,電荷ドーズ量を制御)下では,中央の反転パターンはほぼ等しいサイズとなった.この事実は計算式から予測される結果と良く一致した.つぎにコントロールリングの幅やドーズ量等を変化させてクーロン力を制御して中央パターンへのクーロン力の定量化を試みた.その結果,中央パターンの大きさはクーロン力が大きくなるほど大きくなり,計算から予想される定量的関係を満足していることを明らかにした.
参考文献
1) 皆方誠:"LiNbO3光導波路デバイス",電子情報通信学会論文誌,
J77-C-・ No.5,194-205
(1994).
2) 皆方,中田,粟野, "電子ビーム分極反転法による反転しきい値と点列形状形成の検討"
静岡大学電子工学研究所研究報告32,49-57(1997).
3) M.Minakata,H.Awano and
Y.Nakada:"Effect of Control-Ring on LiTaO3 Domain Inversion by Electron Beam Irradiation"Proceedings of JICAST2000
253-256
*現在所属先:ローム(株)
〒222-8575 横浜市港北区新横浜2-4-8
*Present Address: ROHM Co.
(2-4-8 Shin-Yokohama, Kohoku-ku, Yokohama 222-8575)